Sinolstab® UV-783

banner

Sinolstab® UV-783

Sinolstab® Işık Sabitleyici

Sinolstab® UV-783, HALS 944 ve HALS 622'nin sinerjik bir karışımıdır. 783, ışığa ve ısıya karşı kalıcı stabilizasyon etkisi, düşük uçuculuk, ekstraksiyon direnci ile mükemmel bir ışık stabilizatörüdür ve özellikle PP elyaf, bant, ince ve kalın LLDPE, LDPE ürünlerinde etkilidir.

Paylaş

Sinolstab® UV-783


Kimyasal Adı: %50 Sinolstab®UV-944 + %50 Sinolstab®UV-622; UV STABİLİZATÖRÜ 783 (%50 HALS 944 + %50 HALS 622); Işık stabilizatörü UV 783

Dosya No.:  70624-18-9 & 65447-77-0

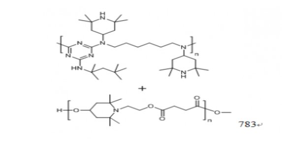
Formül: [C35H66N8]n (n=4-5); H[C15H25O4N]nOCH3

Yapı:


Başvuru :

Dokuma Çantalar, Elektrikli Ev Aletleri, Fonksiyonel Filmler, Damla Sulama Bantları, Jeomembranlar, Su Geçirmez Giysiler.

Özellikler :

Görünüm : Beyaz toz veya açık sarı granüller

Erime Aralığı: 55-130℃

Uçucu Madde: ≤0,5%

Bağıl Yoğunluk: 1,11 g/cm³

Işık Geçirgenliği: 425nm: ≥%90,0; 450nm: ≥%93,0

Kül içeriği: ≤0,1%

Malzeme:  PP, ABS, TPE, PE, EVA, EPDM, TPU, PA


Çözünürlük :

Aseton ve etil asetatta çözünür; suda çözünmez.

Özellikler ve Uygulama Alanı :

UV 783, HALS 944 ve HALS 622'nin sinerjik bir karışımıdır. 783, ışığa ve ısıya karşı kalıcı stabilizasyon etkisi, düşük uçuculuk, ekstraksiyon direnci ile mükemmel bir ışık stabilizatörüdür ve özellikle PP elyaf, bant, ince ve kalın LLDPE, LDPE ürünlerinde etkilidir.

Uyarılar: Doğrudan güneş ışığından, nemden, yüksek sıcaklıktan, kükürt veya halojen içeren maddelerden (bazı stabilizatörler, alev geciktiriciler ve böcek ilaçları gibi) uzak tutun. Kullanmadan önce test edilmesi gereklidir.


Ambalajlama :
  • 25 kg'lık karton kutu içinde plastik torba veya müşterinin isteğine göre.

Depolamak :

Serin, kuru ve doğrudan güneş ışığından uzak bir yerde saklayın.

Nasıl yardımcı olabiliriz?

Uygulamanız için doğru ürünü bulmanıza yardımcı olmak amacıyla çeşitli seçenekler sunuyoruz.

SINOCURE'U NEDEN TERCİH ETMELİSİNİZ?

  • Özelleştirilmiş geliştirme

    Su bazlı/solvent bazlı sistemler için formülasyon optimizasyonu desteği sağlayın.

  • Küresel uyumluluk

    REACH, FDA ve GB standartlarının tam kapsamlı ele alınması

  • İstikrarlı tedarik

    %99,8 zamanında teslimat oranı, 10.000 ton üretim kapasitesi garantisi

+86 15550440621
+8615668330235
info@sinocurechem.com
Size özel formülasyon uzmanınız:
Monomerden polimere kadar her olasılığı ayrıntılı olarak inceliyoruz!
©2025 Sinocure Chemical Group Her hakkı saklıdır. CNZZ