Sinolstab® UV-292

banner

Sinolstab® UV-292

Sinolstab® Işık Sabitleyici

SINOLSTAB® UV-292, çoğu yaygın organik çözücüde çözünebilen ve birçok polimerle daha iyi uyumluluğa sahip, düşük molekül ağırlıklı, engellenmiş amin yapılı bir ışık stabilizatörüdür. UV emicilerle sinerjik bir etkiye sahiptir. Güneş ışığına maruz kalma durumunda kaplamanın çatlamasını ve yüzey soyulmasını etkili bir şekilde önleyebilir. Otomotiv özel kaplamalarında daha etkilidir ve benzotriazol UV emicilerle iyi bir sinerjik etkiye sahiptir.

Paylaş

SINOLSTAB® UV-292


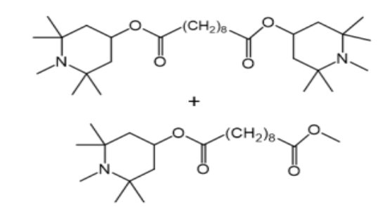
Kimyasal Adı:  Bis(1,2,2,6,6-pentametil-4-piperidinil)-sebakat ve 1-(Metil)-8-(1,2,2,6,6-pentametil-4-piperidinil)-sebakat karışımı

CAS Numarası:  41556-26-7 ve 82919-37-7

Moleküler Formül: C30H56N2O4 + C21H39NO4

Moleküler Yapı:


Teknik Özellikler :

Görünüm Aktif içerik Kül Özgül ağırlık g/ml    

Berrak, renksiz sıvı >=97% <=0.10% 0.99    



Başvuru :

SINOLSTAB® UV-292 (HS-508), oldukça etkili bir sterik engelli amin ışık stabilizatörüdür (HALS). Kaplamalar, baskı mürekkepleri ve poliüretan boyalar gibi uygulamalarda yüzeyde kabarma veya pul pul dökülmeyi önlemek için mükemmel ışık stabilitesi gösteren sıvı bir sterik engelli amin ışık stabilizatörüdür. Polipropilen, polietilen, stiren, doymamış polyesterler, akrilik reçineler, vinil polimerler (PVC, PVB) dahil olmak üzere plastisoller, elastomerler, yapıştırıcılar, sızdırmazlık malzemeleri ve kaplamaların ışık stabilizasyonunda yaygın olarak kullanılır. Poliollerde çözünürlüğü nedeniyle poliüretanlar için sıklıkla önerilir. SINOLSTAB® UV-292, pigmentler veya diğer stabilizatörler gibi yardımcı katkı maddeleriyle genellikle daha az etkileşime girer. SINOLSTAB® UV-292, özellikle otomotiv ve ahşap mobilya kaplamalarında kullanıldığında, benzotriazol ailesinden UV emicilerle güçlü bir sinerjiye sahiptir.

Ambalajlama :
  • 25 kg veya 200 kg'lık bidon.

Depolamak :

Kuru, temiz ve havalandırılmış bir depoda saklayın.
Işık ve ısıya maruz kalmaktan kaçının.
Taşıma sırasında sızıntı, yağmur ve güneşten korunmaya özen gösterin.

Nasıl yardımcı olabiliriz?

Uygulamanız için doğru ürünü bulmanıza yardımcı olmak amacıyla çeşitli seçenekler sunuyoruz.

SINOCURE'U NEDEN TERCİH ETMELİSİNİZ?

  • Özelleştirilmiş geliştirme

    Su bazlı/solvent bazlı sistemler için formülasyon optimizasyonu desteği sağlayın.

  • Küresel uyumluluk

    REACH, FDA ve GB standartlarının tam kapsamlı ele alınması

  • İstikrarlı tedarik

    %99,8 zamanında teslimat oranı, 10.000 ton üretim kapasitesi garantisi

+86 15550440621
+8615668330235
info@sinocurechem.com
Size özel formülasyon uzmanınız:
Monomerden polimere kadar her olasılığı ayrıntılı olarak inceliyoruz!
©2025 Sinocure Chemical Group Her hakkı saklıdır. CNZZ