Sinolstab® UV-123

banner

Sinolstab® UV-123

Sinolstab® Işık Sabitleyici

Sinolstab® UV-123 düşük alkaliliğe sahiptir ve boyadaki asidik bileşenlerle reaksiyonu büyük ölçüde önler.

UV-123, kaplama endüstrisinde kullanılan amino eter grupları içeren sıvı bir engellenmiş amin ışık stabilizatörüdür. Bu ürün düşük alkaliliğe sahiptir ve kaplamalardaki asidik bileşenlerle reaksiyonu büyük ölçüde önler. UV-123, çatlama, parlaklık kaybı, tebeşirlenme ve diğer boya hastalıklarını etkili bir şekilde önleyerek kaplamanın kullanım ömrünü uzatır.

UV-123, özellikle yüksek katı içerikli, asit kürlemeli otomotiv boyaları ve endüstriyel boyalar için uygundur, örneğin: çift katmanlı termoset akrilik sistem ve tek katmanlı termoset akrilik ve polyester katı renk boyaları.

Aynı ürün aşağıdaki kaplama sistemlerinde de kullanılabilir:

·Alkid/akrilik hava kürlemeli otomotiv tamir boyası

·Alkid oksijen kürlemeli boya

·İki bileşenli izosiyanat içermeyen kaplamalar


Paylaş

SINOLSTAB® UV-123


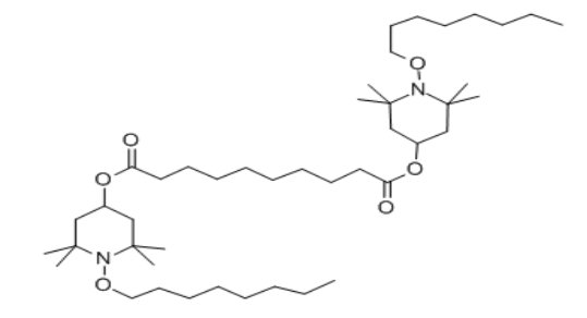
Kimyasal Adı: Bis-(1-oktiloksi-2,2,6,6-tetrametil-4-piperidinil) sebakat; TINUVIN 123; Chiguard 101; Eversorb 95; Omnistab LS 123; THASORB UV-123; SUNSORB LS-123; Işık sabitleyici UV-123; Işık sabitleyici HS-112

Dosya No.:  129757-67-1

Yapı:



Uygulama Sistemi :

Görünüm:   Berrak, açık sarı sıvı.
Viskozite (20℃'de kinetik): 3000 mPa.s.
Yoğunluk (20°C'de):  0,97 g/cm³

Erime Aralığı: ≤-30℃

UV-123, çoğu kaplama çözücüsüyle %50'den fazla oranda karışabilir ve sudaki çözünürlüğü %0,01'den azdır, ancak UV-123 su bazlı sistemlere kolayca emülsifiye olur.


Uygulama Alanı :

Otomotiv boyaları, endüstriyel boyalar, dekoratif boyalar ve ahşap boyaları.

Miktar ekle :

Otomotiv boyası ve endüstriyel boya: %0,5-2 UV-123 + %1-3 UV-1130 veya UV-384 veya UV-928 veya UV-400
Dekoratif boya ve ahşap boyası: %0,5-2 UV-123 (tek başına kullanılır) veya +%1-3 UV-1130 veya UV-384

Ambalajlama :
  • 20 kg, 25 kg, 200 kg'lık bidonlar.

Depolamak :

Serin, kuru ve doğrudan güneş ışığından uzak bir yerde saklayın.



Nasıl yardımcı olabiliriz?

Uygulamanız için doğru ürünü bulmanıza yardımcı olmak amacıyla çeşitli seçenekler sunuyoruz.

SINOCURE'U NEDEN TERCİH ETMELİSİNİZ?

  • Özelleştirilmiş geliştirme

    Su bazlı/solvent bazlı sistemler için formülasyon optimizasyonu desteği sağlayın.

  • Küresel uyumluluk

    REACH, FDA ve GB standartlarının tam kapsamlı ele alınması

  • İstikrarlı tedarik

    %99,8 zamanında teslimat oranı, 10.000 ton üretim kapasitesi garantisi

+86 15550440621
+8615668330235
info@sinocurechem.com
Size özel formülasyon uzmanınız:
Monomerden polimere kadar her olasılığı ayrıntılı olarak inceliyoruz!
©2025 Sinocure Chemical Group Her hakkı saklıdır. CNZZ