Sinophor® BA

banner

Sinophor® BA

Sinophor® Floresan Parlatıcı

Sinophor®BA – Performans Özellikleri:

Bu ürün kolay çözünür, iyi asit ve alkali direncine sahiptir ve pH 4,5-7 aralığında beyazlatma etkisi VBL'den önemli ölçüde daha iyidir. Anyoniktir ve anyonik veya noniyonik yüzey aktif maddelerle banyo edilebilir.

Sinophor®BA - Uygulama Alanı:

Esas olarak kağıt hamuru beyazlatma, yüzey boyutlandırma, kaplama ve diğer işlemler için kullanılır. Ayrıca pamuk, keten ve selüloz elyaf kumaşların beyazlatılması ve açık renkli elyaf kumaşların parlatılması için de kullanılabilir.


Paylaş

SINOPHOR® BA


Eş anlamlılar: Floresan Parlatıcı 113; Floresan parlatıcı madde 113; Blankophor BA; OPTİK PARLATICI 113

Dosya No.:  12768-92-2

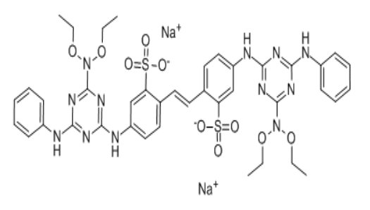
Yapı:


Özellikler :
ÖğelerStandart
Dış görünüşaçık sarı homojen toz
Mukavemeti standart ürünle eşdeğerdir.100
GölgeYaklaşık ~ Mikro
Nem, %≤ 5
Suda çözünmeyen safsızlık içeriği, %≤ 0,5
İnce tanecik boyutu (180 µm elekten geçen kalıntı), %≤ 10


Özellikler ve kullanım alanları :

SINOPHOR® BA, esas olarak kağıt hamurunun beyazlatılması, yüzey boyutlandırma, kaplama ve diğer işlemler için kullanılır. Ayrıca pamuk, keten ve selüloz elyaf kumaşların beyazlatılması ve açık renkli elyaf kumaşların parlatılması için de kullanılabilir.

  • Kağıt endüstrisinde, malzemeyi çözmek için 20 kat daha fazla su kullanılır ve bu su, hamur, kaplama veya yüzey boyutlandırma maddesine eklenir. Geleneksel dozaj, mutlak kuru hamurun veya mutlak kuru kaplamanın %0,1-0,3'üdür.

  • Pamuk, kenevir ve selüloz liflerinin beyazlatılmasında kullanıldığında, floresan beyazlatıcı maddeyi doğrudan boyama kazanına ekleyin ve kullanmadan önce suda çözün. Dozaj: %0,08-0,3. Banyo oranı: 1:20-40. Boyama banyosu sıcaklığı: 60-100℃.



Ambalajlama :
  • 25 kg/varil, karton

Depolamak :

Serin, kuru ve doğrudan güneş ışığından uzak bir yerde saklayın.

Nasıl yardımcı olabiliriz?

Uygulamanız için doğru ürünü bulmanıza yardımcı olmak amacıyla çeşitli seçenekler sunuyoruz.

SINOCURE'U NEDEN TERCİH ETMELİSİNİZ?

  • Özelleştirilmiş geliştirme

    Su bazlı/solvent bazlı sistemler için formülasyon optimizasyonu desteği sağlayın.

  • Küresel uyumluluk

    REACH, FDA ve GB standartlarının tam kapsamlı ele alınması

  • İstikrarlı tedarik

    %99,8 zamanında teslimat oranı, 10.000 ton üretim kapasitesi garantisi

+86 15550440621
+8615668330235
info@sinocurechem.com
Size özel formülasyon uzmanınız:
Monomerden polimere kadar her olasılığı ayrıntılı olarak inceliyoruz!
©2025 Sinocure Chemical Group Her hakkı saklıdır. CNZZ