Sinophor® APC

banner

Sinophor® APC

Sinophor® Floresan Parlatıcı

Sinophor® APC, özellikle örme pamuklu kumaşların beyazlatılması ve parlatılması için uygundur. FBA220, yapısında birden fazla suda çözünebilen grup barındırır; bu da sadece iyi su çözünürlüğüne sahip olmakla kalmaz, aynı zamanda iyi ter haslığı ve asit direnci de sağlar. pH 3-4 olsa bile, selüloz liflerinde iyi bir beyazlatma etkisi gösterir.

Beyazlatıcı madde sıvı halde olduğundan, toz halindeki beyazlatıcı maddelere göre çözülmesi daha kolaydır ve toz kirliliğine neden olmaz. Beyazlatma gereksinimine göre belirli bir miktar tartılıp istenilen oranda su ile seyreltilmesi yeterlidir.

Paylaş

SINOPHOR® APC

● Eş anlamlılar: Floresan Parlatıcı 220; Floresan parlatıcı madde APC; FBA220; OPTİK PARLATICI 220

● Dosya No.:  16470-24-9

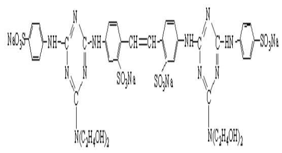
● Yapı:

Uygulama Sistemi :
ÖğelerStandart
Dış görünüşŞeffaf kehribar rengi sıvı
Floresans yoğunluğu (standart ürüne eşdeğer)35
Beyazlık WCIE≥0
Viskozite (25℃), mPa·s≤ 50
pH değeri8-10
Yoğunluk, g/cm³1.1-1.2
İyoniklikAnyon


Başvuru :

1. Floresan beyazlatma işlemi hamur aşamasında gerçekleştirilir.
2. Floresan beyazlatma işlemi yüzey boyutlandırma aşamasında gerçekleştirilir.
3. Floresan beyazlatma işlemi kaplama işlemi sırasında gerçekleştirilir.

Talimatlar :

1. Doğrudan bulamaç içerisine eklenebilir, geleneksel dozaj: %0,05-1,2 (tamamen kuru bulamaç).
2. Daha iyi bir beyazlatma etkisi elde etmek için yüzey boyutlandırmasında yaygın olarak kullanılan nişasta, CMC ve PVA ile birlikte kullanılabilir. Geleneksel dozaj 0,5-10 g/L'dir.
3. Kaplama işlemi sırasında herhangi bir aşamada eklenebilir. PVA, CMC ve nişasta ile birlikte kullanıldığında daha iyi sonuçlar elde edilir. Geleneksel dozaj: %0,1-1,4 (kaplamanın ağırlığına göre).

Ambalajlama :

● 50 kg, 200 kg, 220 kg plastik bidon

Depolamak :

Serin, kuru ve doğrudan güneş ışığından uzak bir yerde saklayın.

Nasıl yardımcı olabiliriz?

Uygulamanız için doğru ürünü bulmanıza yardımcı olmak amacıyla çeşitli seçenekler sunuyoruz.

SINOCURE'U NEDEN TERCİH ETMELİSİNİZ?

  • Özelleştirilmiş geliştirme

    Su bazlı/solvent bazlı sistemler için formülasyon optimizasyonu desteği sağlayın.

  • Küresel uyumluluk

    REACH, FDA ve GB standartlarının tam kapsamlı ele alınması

  • İstikrarlı tedarik

    %99,8 zamanında teslimat oranı, 10.000 ton üretim kapasitesi garantisi

+86 15550440621
+8615668330235
info@sinocurechem.com
Size özel formülasyon uzmanınız:
Monomerden polimere kadar her olasılığı ayrıntılı olarak inceliyoruz!
©2025 Sinocure Chemical Group Her hakkı saklıdır. CNZZ