Sinomer® BMES

banner

Sinomer® BMPT

Özellikli Monomer, Politiyol/Polimerkaptan/Tiyol Bileşikleri, Sinomer® Fonksiyonel Monomerler

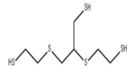
SINOMER® BMPT, kimyasal adı 2,3-bis((2-merkaptoetil)tiyo)-1-propanetiol; 1,2-Bis[(2-merkaptoetil)tiyo]-3-merkaptopropan; UV kaplamalarda, yapıştırıcılarda ve optik lenslerde yaygın olarak kullanılan bir politiol monomeridir.

Politiyol ürünlerimiz hakkında daha fazla bilgi için lütfen tıklayın: Düşük sıcaklıkta ve hızlı kürleme için ilk tercih edilen epoksi reçine kürleme ajanı/polimerkaptan/


Paylaş

SINOMER® BMPT


CAS No.: 131538-00-6

Kimyasal Adı:

2,3-bis((2-merkaptoetil)tiyo)-1-propanetiol; 1,2-Bis[(2-merkaptoetil)tiyo]-3-merkaptopropan

Eş anlamlılar: TIOCURE DMPT; Politiyol DMPT; Merkaptan DMPT; Polimerkaptan

Moleküler yapı:


Standart :
Dış görünüşRenksiz, şeffaf sıvı
Kırılma indisi 20ND1.6300~1.6350
Su içeriği, ppm≤500
APHA Rengi≤8


Özellikler :

• Yüksek kırılma indisi, yüksek çözünürlük, yüksek Abbe değeri ve darbelere karşı güçlü direnç
• Ultra hafif ve ince, iyi boyama özelliği ve hassas progresif lens tasarımına uygun

Uygulamalar :
  • 1.67 HRI gözlük merceği monomeri

  • HRI optik lens elemanı

  • Hassas optik lens UV yapıştırıcısı

Politiyol/Polimerkaptan ile ilgili diğer ürünler :
Ürün AdıDava No.Kimyasal AdıEş anlamlılar/Uygulama
▶Sinomer® PETMP7575-23-7Penta-eritritol tetrakis(3-merkaptopropiyonat)THIOCURE PETMP;


PET-3-MP;Tetra (3-merkaptopropiyonat)

▶Sinomer® BMES3570-55-6Bis(2-merkaptoetil) sülfür;


Dimerkapto dietil sülfür;

2,2′-Tiyodietanetiyol;

THIOCURE DMDS;


Politiyol DMDS

▶Sinomer® BMPT131538-00-62,3-bis((2-merkaptoetil)tiyo)-1-propanetiolTHIOCURE DMPT;


Politiyol DMPT

▶Sinomer® PM83972244-98-5Poli[oksi(metil-1,2-etandiyil)], .alfa.-hidro-.omega.-hidroksi-, 2,2-bis(hidroksimetil)-1,3-propandiol (4:1) ile eter, 2-hidroksi-3-merkaptopropil eterEpoksi sertleştirici madde, Capcure 3-800;


GABEPRO GPM-800;

Politiyol QE-340M;

Thiocure 1200

▶Sinomer® TMPMP33007-83-9Trimetilolpropan Tris(3-merkaptopropiyonat)/
▶Sinomer®OM835
188829-97-2Bis(tiiran-2-ilmetil)sülfan; 1,1′-Tiyobis(2,3-epitiyopropan); Bis(2,3-etilpropil)sülfüryüksek kırılma indisine sahip optik monomer
▶Sinomer® OM26539667-72-62-Propenoik asit, 2-(2-benzotiyazoliltiyo)etil ester;(2-(2-benzotiyazoliltiyo)etil)akrilat;MBTAyüksek kırılma indisine sahip  optik monomer
▶Sinomer® OM258 97049-32-02-Naftaleniltiyoetil akrilat; 2-Propenoik asit 2-(2-naftaleniltiyo)etil ester; NTEAyüksek kırılma indisine sahip  optik monomer
▶Sinomer® OM386129283-82-5Bis(4-Metakriloiltiyofenil) Sülfür; 4,4'-Tiyodibenzeneditiol Dimetakrilatyüksek kırılma indisine sahip optik monomer
▶Sinomer® PETMA10193-99-4Penta-eritritol tetrakis(2-merkaptoasetat)bağlayıcı madde
▶Sinomer® EGDMP22504-50-3Etilen Glikol Bis(3-Merkaptopropiyonat)çapraz bağlayıcı madde, kürleme maddesi
▶Sinomer® GDMA123-81-9Glikodimerkaptoasetat; Etilen di(S-tiyoasetat)PVC ısı stabilizatörü 
▶Sinomer® EHMP50448-95-82-Etilheksil 3-Merkaptopropiyonat Kükürt-kalay stabilizatörü
▶Sinomer® GMT8030618-84-9Gliseril monotiyoglikolatgünlük kimyasal


Ambalajlama :
  • Ambalaj: 30 kg/varil veya 250 kg/varil 

  • Teslimat: 5-7 iş günü içinde.


Depolamak :

İyi havalandırılan, kuru ve temiz bir depoda muhafaza edilmektedir.

Işık ve ısıya maruz bırakmaktan kaçının.

Ürünü taşıma sırasında sızıntıdan, yağmurdan ve güneş ışınlarından korumak.


Nasıl yardımcı olabiliriz?

Uygulamanız için doğru ürünü bulmanıza yardımcı olmak amacıyla çeşitli seçenekler sunuyoruz.

SINOCURE'U NEDEN TERCİH ETMELİSİNİZ?

  • Özelleştirilmiş geliştirme

    Su bazlı/solvent bazlı sistemler için formülasyon optimizasyonu desteği sağlayın.

  • Küresel uyumluluk

    REACH, FDA ve GB standartlarının tam kapsamlı ele alınması

  • İstikrarlı tedarik

    %99,8 zamanında teslimat oranı, 10.000 ton üretim kapasitesi garantisi

+86 15550440621
+8615668330235
info@sinocurechem.com
Size özel formülasyon uzmanınız:
Monomerden polimere kadar her olasılığı ayrıntılı olarak inceliyoruz!
©2025 Sinocure Chemical Group Her hakkı saklıdır. CNZZ