SINOMER DCPA

banner

Sinomer® DCPA

Özellikli Monomer, Monofonksiyonel Monomer, Sinomer® Fonksiyonel Monomerler

Sinomer® DCPA, UV kürleme sistemlerinde kullanılabilen düşük viskoziteli bir seyreltici monomerdir.


Yüksek Tg Yüksek sertlik    

Düşük viskozite, iyi yapışma özelliği.    


Paylaş

SINOMER® DCPA


Kimyasal Adı:  Dihidrodisiklopentadienil Akrilat

CAS No.: 12542-30-2

MF: C13H16O2   MW: 204

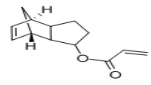
Moleküler yapı:



Standart :
ÖğelerDCPA
Dış görünüşRenksiz ila açık sarı şeffaf sıvı
Saflık, ağırlıkça %≥96
Asit Değeri, mg KOH/g≤1
Tg, ℃100
Renk, APHA<50
Kırılma indisi, nD @25°C1.507
Viskozite, @25℃, cps8-18
Polimerizasyon inhibitörü, MEHQ100-600


Uygulamalar :

UV kaplamalar, mürekkepler, UV yapıştırıcılar, reçine sentezi vb.

Ambalajlama :
  • Ambalaj: 200 kg/varil.

  • Teslimat: 5-7 iş günü içinde.


Depolamak :

İyi havalandırılan, kuru ve temiz bir depoda muhafaza edilmektedir.

Işık ve ısıya maruz bırakmaktan kaçının.

Ürünü taşıma sırasında sızıntıdan, yağmurdan ve güneş ışınlarından korumak.


Nasıl yardımcı olabiliriz?

Uygulamanız için doğru ürünü bulmanıza yardımcı olmak amacıyla çeşitli seçenekler sunuyoruz.

SINOCURE'U NEDEN TERCİH ETMELİSİNİZ?

  • Özelleştirilmiş geliştirme

    Su bazlı/solvent bazlı sistemler için formülasyon optimizasyonu desteği sağlayın.

  • Küresel uyumluluk

    REACH, FDA ve GB standartlarının tam kapsamlı ele alınması

  • İstikrarlı tedarik

    %99,8 zamanında teslimat oranı, 10.000 ton üretim kapasitesi garantisi

+86 15550440621
+8615668330235
info@sinocurechem.com
Size özel formülasyon uzmanınız:
Monomerden polimere kadar her olasılığı ayrıntılı olarak inceliyoruz!
©2025 Sinocure Chemical Group Her hakkı saklıdır. CNZZ