Sinocure® CD-2

banner

Sinocure® CD-2

Diğer Katalizörler ve Katkı Maddeleri

Renk geliştirici (CD-2 tipi), beyaz veya kirli beyaz kristal toz halindedir. Havada kolayca oksitlenir ve rengi koyulaşır. Suda kolayca çözünür, erime noktası 250°C'dir ve renkli fotoğraf geliştirici olarak kullanılır.

Paylaş

Sinocure® CD-2


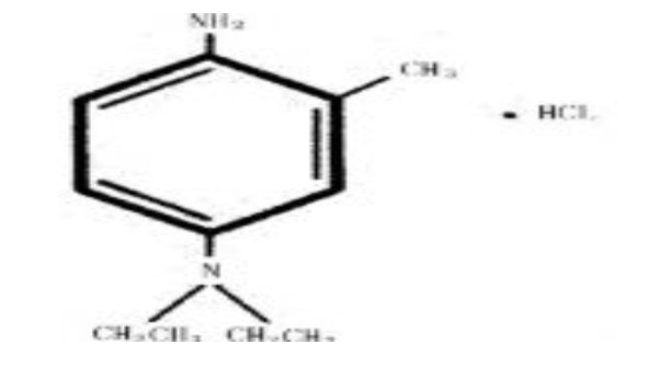
Kimyasal adı: 4-(N-Etil-N-2-hidroksietil)-2-metilfenilendiamin sülfat; Renk geliştirici madde CD-2

Dosya No: 2051-79-8

Moleküler formül : C11H19ClN2

Moleküler ağırlık: 214.73500

Moleküler yapı:








Renk geliştirici madde CD-2 Fonksiyonu :

Film ve fotoğrafçılık departmanlarında yağda çözünen renkli filmler için yüksek sıcaklıkta hızlı banyo edici olarak kullanılır.

Renk geliştirici madde CD-2 Ambalaj ve Sevkiyat :
  • Ambalaj: 25 kg / bidon.

  • Teslimat: 5-7 iş günü içinde.

Renk geliştirici madde CD-2 Saklama Koşulları :
  • Serin ve kuru bir yerde (2-8°C) doğrudan güneş ışığından uzakta saklayın.

Nasıl yardımcı olabiliriz?

Uygulamanız için doğru ürünü bulmanıza yardımcı olmak amacıyla çeşitli seçenekler sunuyoruz.

SINOCURE'U NEDEN TERCİH ETMELİSİNİZ?

  • Özelleştirilmiş geliştirme

    Su bazlı/solvent bazlı sistemler için formülasyon optimizasyonu desteği sağlayın.

  • Küresel uyumluluk

    REACH, FDA ve GB standartlarının tam kapsamlı ele alınması

  • İstikrarlı tedarik

    %99,8 zamanında teslimat oranı, 10.000 ton üretim kapasitesi garantisi

+86 15550440621
+8615668330235
info@sinocurechem.com
Size özel formülasyon uzmanınız:
Monomerden polimere kadar her olasılığı ayrıntılı olarak inceliyoruz!
©2025 Sinocure Chemical Group Her hakkı saklıdır. CNZZ