Sinomer® IBOMA

banner

Sinomer® IBOMA

Biyolojik kaynaklı monomer, Monofonksiyonel monomer

Sinomer® IBOMA, yüksek Tg değerine sahip termoplastik akrilik reçine üretimi için uygundur. Ürünleri yüksek sertliğe, yüksek alkol ve ısı direncine, ayrıca iyi esneklik, yapışma, nem direnci ve hava koşullarına dayanıklılığa sahiptir. Özel bir yapıya sahip yeni bir akrilat monomer türüdür. PET, PE, PP vb. gibi yumuşak plastik film kaplamalarının ve PE, PP, PC ve diğer mühendislik plastikleri için dekoratif koruyucu kaplamaların üretimi için uygundur.

Paylaş

SINOMER® IBOMA

Dosya No: 7534-94-3

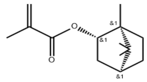
Kimyasal adı: İzobornil metakrilat

Eş anlamlılar: Ageflex IBOMA; IBOMA Monomer; Eternal EM 90; IBXMA; Hafif Ester IB-X; Sartomer SR 423; Sipomer IBOMA 1,7,7-trimetilbisiklo[2.2.1]hept-2-il metakrilat; 2-metil-,1,7,7-trimetilbisiklo(2.2.1)hept-2-ilester, ekzo-2-propenoik asit

Moleküler yapı:

Standart :
ÖzellikIBOM
Dış görünüşŞeffaf
Formül Ağırlığı222
Yoğunluk g/ml0,985
Kırılma İndeksi (25℃)1.4750
Viskozite (mPa.s)10~15
Kapalı Parlama Noktası℃119
Cam Geçiş Sıcaklığı (Tg) ℃170


Başvuru :

SINOMER® IBOMA'nın Yüksek Katı İçerikli Akrilik Reçinede Uygulanması.

Akrilik reçine formülasyonunda, metakrilik asidin halka ester monomerinin (örneğin IBOMA) eklenmesi, cam geçiş sıcaklığını, moleküler ağırlığı ve fonksiyonel grubu sabit tutarken polimer çözeltisinin viskozitesini etkili bir şekilde azaltabilir. Tüm halka monomer çeşitleri arasında IBOMA'nın viskozite azaltıcı etkisi daha belirgindir.

IBOMA, sertlik ve esnekliği birleştiren bir tür monomerdir. Moleküler yapısı nedeniyle IBOMA polimeri mükemmel ışık, taze yansıma, aşınma direnci, orta direnç ve hava koşullarına dayanıklılık özelliklerine sahiptir ve higroskopikliği MMA'dan (metil metakrilat) daha düşüktür. Ayrıca, IBOMA içeren akrilik reçine, polyester, alkid ve birçok uçucu boya film oluşturucu madde ile iyi uyumluluğa sahiptir.

IBOMA toz boyalarda kullanıldığında, kopolimeri tozun topaklanmasını iyileştirerek, toz boyaların stabilitesini artırır ve erime viskozitesini düşürerek, boyaların düzgünlüğünü ve görünümünü ve parlaklığını iyileştirir.


Ambalajlama :

● Ambalaj: 25 kg/varil veya 200 kg/varil

● Teslimat: 5-7 iş günü içinde.


Depolamak :

İyi havalandırılan, kuru ve temiz bir depoda muhafaza edilmektedir.

Işık ve ısıya maruz bırakmaktan kaçının.

Ürünü taşıma sırasında sızıntıdan, yağmurdan ve güneş ışınlarından korumak.

Nasıl yardımcı olabiliriz?

Uygulamanız için doğru ürünü bulmanıza yardımcı olmak amacıyla çeşitli seçenekler sunuyoruz.

SINOCURE'U NEDEN TERCİH ETMELİSİNİZ?

  • Özelleştirilmiş geliştirme

    Su bazlı/solvent bazlı sistemler için formülasyon optimizasyonu desteği sağlayın.

  • Küresel uyumluluk

    REACH, FDA ve GB standartlarının tam kapsamlı ele alınması

  • İstikrarlı tedarik

    %99,8 zamanında teslimat oranı, 10.000 ton üretim kapasitesi garantisi

+86 15550440621
+8615668330235
info@sinocurechem.com
Size özel formülasyon uzmanınız:
Monomerden polimere kadar her olasılığı ayrıntılı olarak inceliyoruz!
©2025 Sinocure Chemical Group Her hakkı saklıdır. CNZZ