SINOMER® HPN-204 diol

banner

Sinomer® HPNDA

Hidroksipivalil hidroksipivalat diakrilat, CAS 30145-51-8, HPHPDA monomer alternatifi, düşük tahriş edici akrilat

SINOMER® HPNDA, düşük tahriş edici özelliğe, iyi seyreltme özelliğine, iyi su direncine, iyi esnekliğe sahip ve metal yapışmasını destekleyen, iki işlevli bir akrilattır.

Paylaş

SINOMER® HPNDA

(Hidroksipivalil Hidroksipivalat Diakrilat)

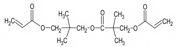
Kimyasal Adı : 3-[2,2-dimetil-1-okso-3-[(1-oksoallil)oksi]propoksi]-2,2-dimetilpropil akrilat; Hidroksipivalil Hidroksipivalat Diakrilat

CAS No .: 30145-51-8

MF: C16H24O6 

MW: 312.36

Moleküler yapı:

Genel bilgi :

SINOMER® HPNDA, düşük tahriş edici özelliğe, iyi seyreltme özelliğine, iyi su direncine, iyi esnekliğe sahip ve metal yapışmasını destekleyen, iki işlevli bir akrilattır.

Standart :

Öğe

Özellikler

Dış görünüş

Renksiz veya açık sarı berrak sıvı

Renk, (Apha)

≤100

Viskozite (cps, 25℃'de)

15~35

Asit değeri (mgKOH/G)

≤1.0

MEHQ (PPM)

400~600


Özellikler :
  • Düşük tahriş

  • İyi ödeme gücü

  • İyi esneklik

  • İyi su geçirmezlik özelliği

  • Metaller üzerinde yapışma özelliğinin iyileştirilmesi


Başvuru :

Elektronik ürünlerde, yapıştırıcıda, cam, metal, kağıt vb. için kaplamalarda kullanılır.

Ambalajlama :

20 kg veya 200 kg/varil.

Depolamak :

Kuru, temiz ve havalandırılmış bir depoda saklayın.
Işık ve ısıya maruz kalmaktan kaçının.
Taşıma sırasında sızıntı, yağmur ve güneşten korunmaya özen gösterin.

Nasıl yardımcı olabiliriz?

Uygulamanız için doğru ürünü bulmanıza yardımcı olmak amacıyla çeşitli seçenekler sunuyoruz.

SINOCURE'U NEDEN TERCİH ETMELİSİNİZ?

  • Özelleştirilmiş geliştirme

    Su bazlı/solvent bazlı sistemler için formülasyon optimizasyonu desteği sağlayın.

  • Küresel uyumluluk

    REACH, FDA ve GB standartlarının tam kapsamlı ele alınması

  • İstikrarlı tedarik

    %99,8 zamanında teslimat oranı, 10.000 ton üretim kapasitesi garantisi

+86 15550440621
+8615668330235
info@sinocurechem.com
Size özel formülasyon uzmanınız:
Monomerden polimere kadar her olasılığı ayrıntılı olarak inceliyoruz!
©2025 Sinocure Chemical Group Her hakkı saklıdır. CNZZ