SINOMER GPTA-3.5B

banner

Sinomer® GPTA-3.5B

Trifonksiyonel monomer, biyolojik bazlı GPTA monomeri, sürdürülebilir UV reçinesi

Sinomer® GPTA-3.5B (G3.5POTA), çok geniş bir yelpazede enerjiyle kürlenen baskı mürekkeplerinde, üst baskı verniklerinde, kaplamalarda ve yapıştırıcılarda kullanılır. Sıradan GPTA ile karşılaştırıldığında, GPTA-3.5B'nin ham maddesi olan propoksillenmiş gliserol, biyolojik kaynaklıdır.

Özellikler:

Hızlı iyileşme yanıtı

İyi kimyasal direnç

İyi sertlik

İyi ıslatma özellikleri


Paylaş

SINOMER® GPTA-3.5B

Eş anlamlısı:   Gliseril Propoksi Triakrilat

CAS No:   52408-84-1

Moleküler Formül:   C21H32O9

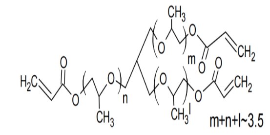
Moleküler Yapı:




Genel bilgi :

Sinomer® GPTA-3.5B (G3.5POTA), düşük viskozite, düşük tahriş, düşük uçuculuk, yüksek reaktivite, hızlı kürlenme oranı ve iyi çizilme direnci özelliklerine sahip biyolojik bazlı bir UV monomeridir.

Teknik Özellikler :
İşlevsellik3
Dış görünüşŞeffaf sıvı
Polimerizasyon inhibitörü, ppm200~500 MEHQ
Nem, ağırlıkça %≤0.1
Asit değeri, mgKOH/g-≤0,5
Renk, APHA≤50
Yoğunluk, 25℃1.08~1.11
Viskozite, CPS.25℃70~100
Kırılma indisi1.461
Yüzey Gerilimi, kadın/cm32.2


Kullanım :

Ahşap kaplamalar, PVC kaplamalar, plastik kaplamalar, metal kaplamalar, ofset baskı mürekkepleri, flekso baskı, serigrafi baskı, vernik, yapıştırıcılar.

Depolamak :

İyi havalandırılan, kuru ve temiz bir depoda muhafaza edilmektedir.

Işık ve ısıya maruz bırakmaktan kaçının.

Ürünü taşıma sırasında sızıntıdan, yağmurdan ve güneş ışınlarından korumak.



Nasıl yardımcı olabiliriz?

Uygulamanız için doğru ürünü bulmanıza yardımcı olmak amacıyla çeşitli seçenekler sunuyoruz.

SINOCURE'U NEDEN TERCİH ETMELİSİNİZ?

  • Özelleştirilmiş geliştirme

    Su bazlı/solvent bazlı sistemler için formülasyon optimizasyonu desteği sağlayın.

  • Küresel uyumluluk

    REACH, FDA ve GB standartlarının tam kapsamlı ele alınması

  • İstikrarlı tedarik

    %99,8 zamanında teslimat oranı, 10.000 ton üretim kapasitesi garantisi

+86 15550440621
+8615668330235
info@sinocurechem.com
Size özel formülasyon uzmanınız:
Monomerden polimere kadar her olasılığı ayrıntılı olarak inceliyoruz!
©2025 Sinocure Chemical Group Her hakkı saklıdır. CNZZ