Sinanox® 1135

banner

Sinanox® 1135

Sinanox® Antioksidan

Sinanox® 1135, mükemmel antioksidasyon özelliğinin yanı sıra pompa ve taşıma kolaylığı da sunar. Düşük uçuculuğu ve üstün uyumluluğu sayesinde, özellikle PU'nun zorlamalı hava soğutma işlemi sırasında çok iyi bir etki gösterir. Bu özellik, otomobil parçalarının ve kumaşların (örneğin: mobilya, halı vb.) boyalarının yüzeyinde buğulanmayı da önleyebilir. Düşük uçuculuğu ve sıvı hali, sıvı, lateks, süspansiyon, çözelti veya erime polimerizasyonu ve işleme koşullarında özellikle uygun olmasını sağlar. Polimerizasyondan önce, sırasında veya sonra eklenebilir.

Paylaş

Sinanox® 1135


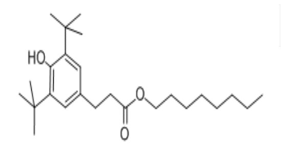
Kimyasal Adı: Antioksidan 1135; Oktil-3,5-di-tert-butil-4-hidroksi-hidrosinnamat

CAS: 125643-61-0

Formül: C25H42O3

MW: 390.6

Yapı:


Teknik Özellikler :
ÖğeStandart
Dış görünüşRenksiz veya Kanarya Sarısı Sıvı
Asitlik≤1,0 mgKOH/g
Çözünürlüktemizlemek
Renk, (Pt-Co) No.≤100
Saflık (%)≥98
Nem (%)≤0,10


Başvuru :

Çeşitli polimerler için mükemmel bir antioksidandır. Poliüretan yumuşak köpük kauçuk levhalarda, depolama süresi boyunca polibazik alkolün peroksit oluşturmasını ve köpürtme işlemi sırasında yanmayı önler. Yağlama yağında kullanıldığında ise termal kararlılığı artırabilir.

Ambalajlama :
  • Her biri 180 kilo ağırlığında çinko galvanizli demir variller.

Kapasite :

Ayda 10 ton.

Depolamak :

Serin, kuru ve doğrudan güneş ışığından uzak bir yerde saklayın.

Nasıl yardımcı olabiliriz?

Uygulamanız için doğru ürünü bulmanıza yardımcı olmak amacıyla çeşitli seçenekler sunuyoruz.

SINOCURE'U NEDEN TERCİH ETMELİSİNİZ?

  • Özelleştirilmiş geliştirme

    Su bazlı/solvent bazlı sistemler için formülasyon optimizasyonu desteği sağlayın.

  • Küresel uyumluluk

    REACH, FDA ve GB standartlarının tam kapsamlı ele alınması

  • İstikrarlı tedarik

    %99,8 zamanında teslimat oranı, 10.000 ton üretim kapasitesi garantisi

+86 15550440621
+8615668330235
info@sinocurechem.com
Size özel formülasyon uzmanınız:
Monomerden polimere kadar her olasılığı ayrıntılı olarak inceliyoruz!
©2025 Sinocure Chemical Group Her hakkı saklıdır. CNZZ